Hydroxyethyl Cellulose

Base Information

  • PRODUCT:Hydroxyethyl Cellulose
  • CAS.:9004-62-0
  • MF:C29H52O21
  • Molecular Weight:154.25100
  • Purity:99%

Product Details

CAS: 9004-62-0

MF: C29H52O21

Appearance: light yellow powder

Quality products make an important contribution to long-term revenue and profitability. High quality purity >99% Hydroxyethyl Cellulose 9004-62-0 for sale

1.What is the Hydroxyethyl Cellulose ?

hydroxyethyl cellulose is a thickener, protective colloid, binder, stabilizer, and suspending agent. It is obtained from wood pulp Copyright 2014 Cengage Learning. All Rights Reserved. May not be copied, scanned, or duplicated, in whole or in part. Due to electronic rights, some third party content may be suppressed from the eBook and/or eChapter(s). Editorial Review has deemed that any suppressed content does not materially affect the overall learning experience. Cengage Learning reserves the right to remove additional content at any time if subsequent rights restrictions require it. or chemical cotton by treatment with an alkali.

2.What is the CAS number for Hydroxyethyl Cellulose ?

The CAS number of Hydroxyethyl Cellulose is 9004-62-0.

More information of Hydroxyethyl Cellulose 9004-62-0 are:

CAS Number

9004-62-0

Density

0.75 g/mL at 25 °C(lit.)

Melting Point

288-290 °C (dec.)

HS CODE

39123980

PSA

91.06000

LogP

0.35240

3.What are another words for Hydroxyethyl Cellulose ?

Synonyms for Hydroxyethyl Cellulose 9004-62-0:Fuji HEC-HP;Fuji HEC-AG 15;NATRO-SOL 250HR;NATROSOL 250MH;NATROSOL 250G;CELLOSIZE QP 30000;TYLOSE H SERIES;NATROSOL 180L;NATROSOL 300H;TYLOSE P-X;NATROSOL 250M;CELLOSIZE WP 4400;CELLOSIZE UT 40;NATROSOL 250H4R;Tylose H 20P;NATROSOL LR;TYLOSE MHB;NATROSOL 250HHP;HERCULES N 100;CELLOSIZE WP 300;TYLOSE P-Z SERIES;NATROSOL 250H;TYLOSE PS-X;Cellobond HEC 400;CELLOSIZE QP;CELLOSIZE QP 1500;NATRO-SOL 250;HYDROXYETHYL CELLULOSE ETHER;HESPAN;TYLOSE MHB-Y;NATROSOL 240JR;HYDROXYETHYL STARCH;CELLOSIZE WP;CELLOSIZE WP 300H;2-HYDROXYETHYL CELLULOSE ETHER;BL 15;CELLOSIZE QP 4400;CELLOSIZE QP3;TYLOSE MB;CELLULOSE HYDROXY-ETHYLATE;CELLOSIZE WPO 9H17;CELLOSIZE 4400H16;CELLULOSE HYDROXYETHYL ETHER;Hydroxyethyl Cellulose ();Hydroxyl Ethyl Cellulose(HEC);Hydroxyethyl Cellulose 100H (celocell 100h);TYLOSE MH-XP;NATROSOL 250HX;Natrosol;Daicel EP 500;HEC-Unicel;HEC (Hydroxyethyl cellulose);Cellosize;HEC-Al 5000;Fuji HEC-AL 15;HEC-Unicel QP 09L;also Cellulose,ethers,2-hydroxyethyl ether;Unicel QP 52000H;HEC-QP 4400;SP 250 (cellulose);Hetastarch;Cellulose,ethers,2-hydroxyethyl ether;Glutofix 600;FL 52;Fuji HEC-AX 15F;Tylose H 300P;HEC-Unicel QP 300H;Tylose H 300;Daicel SP 550;Daicel SE 600;Unicel QP 15000;HEC-QP 100MH;HEC-QP 9H;OETs;Daicel EP 850;H. E. Cellulose;Cellobond 25T;Unicel QP 100MH;Tylose H 4000;polymer with oxirane ;; see;SE 850K;Tylomer H 20;Daicel SE 850K;Tylose H 30000YP;Unicel QP 4400;SP 407;Tylose H 100000;Daicel SP 200;Culminal HEC 5000PR;Tylopur H 300;Daicel SP 750;Sanhec;BL 15 (cellulose derivative);Unicel QP 300H;Tylomer H 200;J 164;Tylose H 10;Tylose H 20;AH 15;Daicel SP 600;Daicel SE 900;HEC-Unicel QP 4400H;AX 15;Daicel SP 800;Fuji HEC-AW 15F;HEC-SE 850;HEC-A 5-25CF;Metolose 90SEW;AW 15 (polysaccharide);Cellobond HEC 5000;HEC-QP 100M;Cellobond HEC 15A;Tylose H 15000YP2;Walocel HT 6.000PFV;2-Hydroxyethyl cellulose (Natrosol Type 250HRCS);Fuji HEC-BL 20;Fuji HEC-SY 25F;Telhec;HEC-SP 200;HEC-AH 15;HEC-Unicel QP 30000H;polymer with cellulose ;; see;HEC 10A;Daicel SP 400;Admiral 3089FS;Fuji HEC-A 5000F;HEC-SP 400;Hydroxyethyl Methyl Cellulose(HEMC);HYDROXYETHYL CELLULOSE (HEC);Hydroxyethyl Starch(CAS No:9004-62-0);Hydroxy Ethyl Cellulose;“Natrosol” [Aqualon];HEC;2-HYDROXYETHYL CELLULOSE;NATROSOL 150L;TYLOSE MHB-YP;HYDROXYETHYL ETHER CELLULOSE;NATROSOL 250L;CELLOSIZE WP 400H;TYLOSE P;CELLULOSE, 2-HYDROXYETHYL ETHER;TYLOSE MH-K;NATROSOL 250HHR;

4.What is the molecular formula of Hydroxyethyl Cellulose?

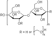
The chemical formula of  Hydroxyethyl Cellulose is C29H52O21 which containing 29 Carbon atoms,52 Hydrogen atoms and 21 Oxygen atoms,and the molecular weight of  Hydroxyethyl Cellulose is 154.25100.

5.What is Hydroxyethyl Cellulose (9004-62-0) used for?

Hetastarch, another nonproteinaceous colloid, is a complex mixture of ethoxylated amylopectins ranging in molecular weight from 10 to 1,000 kDa (average molecular weight, ~450 kDa). When infused as a 6% solution, hetastarch approximates the activity of human albumin. The larger molecular weights, however, increase its intravascular residence time as well as its plasma expansion effects relative to albumin. Hetastarch is synthetically produced, so it is degraded more slowly and is less antigenic than other colloids. Despite these advantages, hetastarch is quite expensive and also has no oxygen-carrying capacity.

Relevant articles related to Hydroxyethyl Cellulose:

6.Buy Hydroxyethyl Cellulose with the best price .

Hebei KuiSheng Trading Co., LTD is a quality supplier of Hydroxyethyl Cellulose. Our main goal is customer satisfaction. Contact us to negotiate the best price for your business on Hydroxyethyl Cellulose 9004-62-0.

Inquiry
Company:
*Product Name/CAS NO:
*Email:
*Requirements:
*Code: